Laplace Transfer Functions
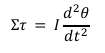
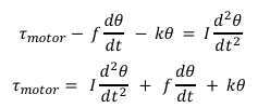
Torque alteration of Newton's Second Law:

Second order linear differential equation:

Laplace:

Transfer Function:

Simulink Diagrams of Open Loop System


Controller Design (PID)
Optimization of an overdamped system:




Jan 2022 - May-2022
Torque alteration of Newton's Second Law:

Second order linear differential equation:

Laplace:

Transfer Function:



Optimization of an overdamped system:



