project-highlight-image

Computational Aerodynamics - Method Implementation and Aircraft Analysis

hero-image

Ashwin

Project Timeline

Oct 2025 - Dec-2025

OVERVIEW

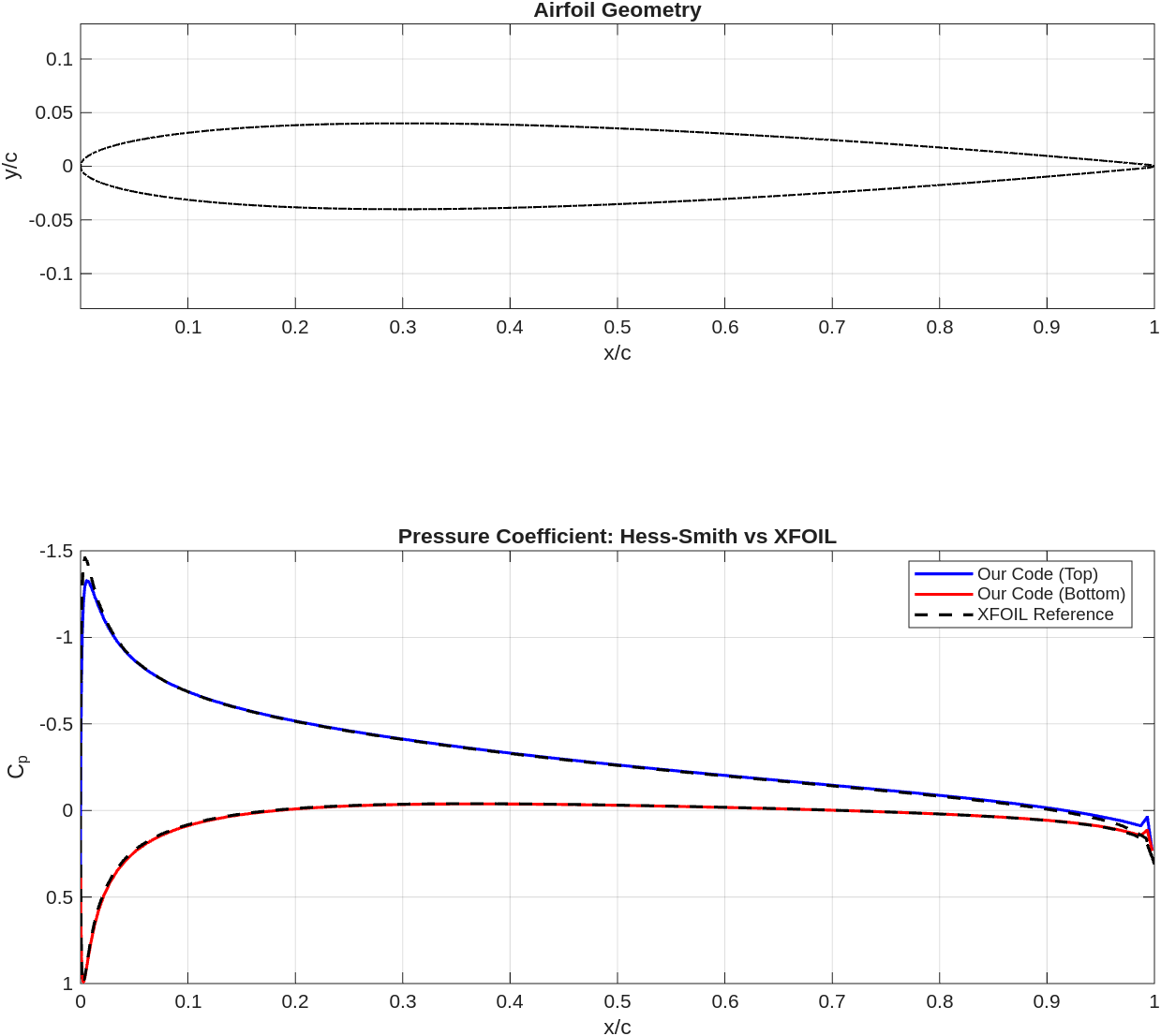
The primary goal of this project was to move beyond commercial "black-box" solvers by writing custom MATLAB code to implement foundational aerodynamic theories. The project involved developing, validating, and applying 2D and 3D computational methods to evaluate airfoil performance and compare real-world aircraft wing geometries.

HighlightS

Developed MATLAB implementations of the Hess-Smith and Weissinger methods to calculate 2D and 3D aerodynamic properties.


Validated the custom code against XFOIL and XFLR5.


Conducted a comparative analysis of wing planforms, quantifying that the Piper PA-28 generates approximately 34% more induced drag than the Cessna 172 at cruise conditions.

SKILLS

MATLAB Computational Aerodynamics XFOIL XFLR5 Hess-Smith Method Weissinger Method Aircraft Performance Analysis

ADDITIONAL CONTENTS

Home
Questions?
hero-image

Ashwin

Hi, I'm Ashwinraj. I'm an Aeronautical Engineering Master's student at Politecnico di Milano. I specialize in high-speed aerodynamics and computational fluid dynamics (CFD).

Previously, I served as the Team Leader and Head of Aerodynamics for the thrustMIT rocketry team, managing 40 members to achieve a successful 10,331-foot launch at the Spaceport America Cup. I also love the intersection of aerospace and code.

I won the FOSSHACK 3.0 hackathon by building a 6-DOF trajectory simulator in Python, and I'm currently diving deep into open-source solvers like OpenFOAM on my custom Linux machine. I'm actively looking for an internship where I can tackle complex, real-world aerospace problems.